當二極管應用于線性電路中,在這種情況下,交流小信號將疊加在直流電流、直流電壓之上,故稱小信號分析,如圖1所示,下面我們一起來看二極管電路小信號究竟如何分析?

圖1 二極管的交流特性
二極管的直流分析
1、直流電阻:首先我們只對二極管進行直流分析,僅考慮直流電源E的作用,因此,交流電源應該是短路的,如果我們將二極管的正向電壓降視約為0.7V的一個常數,此時二極管的端電壓和端電流均為直流量,分別用UD(大寫電壓U、D為直流)和ID(大寫電流I、D為直流)表示。

圖2
圖2(a)二極管直流通路,(b)二極管直流伏安特性和靜態工作點Q
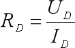
在直流電源E的作用下,對應于二極管電流ID和二極管兩端電壓UD的點我們稱為靜態工作點,兩者的比值定義為直流電阻RD,即

UD約為0.7V,ID為二極管直流電流
2、二極管直流電流ID:二極管在靜態工作點上時符合伏安特性曲線,公式表示靜態工作點時該點電流ID為

其中:IS為二極管的最大反向飽和電流,二極管外加反向電壓時微小的電流值;e為自然常數,約為2.71828;UD為二極管兩端電壓,約為0.7V;UT為二極管的溫度電壓當量,可以表示為UT = kT/q,T=t+273,其中t為攝氏溫度,q是單位電子的電荷量=1.6021892×10-19C;k為玻耳茲曼常數,k=1.3806505×10-23J/K,在室溫27°C左右時,即T=300 K,溫度電壓當量為UT≈26 mV。
注意:由于UD/UT≈0.7V/26 mV≈27,那么e^27是一個很大的數字,減一后約等于e^27即e^UD/UT
二極管的伏安特性曲線如下:

圖3
二極管的交流分析
1、動態電阻:動態分析是直流電源E和交流信號源ui共同作用的結果,它是在一個固定的直流電壓UD(0.7V)和電流ID(即靜態工作點Q)的基礎上,由交流信號ui引起特性曲線在Q點附近的一小段電壓uD(小寫電壓u)和電流iD(小寫電流i)的變化產生的。若該交流信號ui是低頻,而且幅度很小(通常稱低頻小信號),則由此引起的電流變化量也很小,這一小段特性曲線可以用通過Q點的切線來等效。

圖4
圖4(a)二極管交流通路,(b)二極管交流伏安特性和動態工作點Q
若在Q點的基礎上外加微小的低頻信號ui,二極管兩端的電壓變化量△uD和電流變化量△iD,如圖4(b)中所標注,則此時的二極管可等效成一個動態電阻rd,根據二極管的電流方程可得

可見rd是用以Q點為切點的切線斜率的倒數,如圖4(b)中Q點切線倒數。Q點在伏安特性曲線上的位置不同,rd的數值將不同,故此它是一個動態電阻rd。根據二極管的電流方程

其中:iD為二極管的電流,IS為二極管的最大反向飽和電流,二極管外加反向電壓時微小的電流值;e為自然常數,約為2.71828;uD為二極管兩端動態電壓=UD(直流電壓約0.7V)+ud(二極管交流電壓),uD不再是0.7V;UT為二極管的溫度電壓當量(見(1))。
可得:

其中:△uD為二極管兩端的電壓變化量;△iD為二極管兩端的電流變化量;duD為二極管某點的電壓;diD為二極管某點的電流;IS為二極管的最大反向飽和電流,二極管外加反向電壓時微小的電流值;e為自然常數,約為2.71828;uD為二極管兩端動態電壓=UD(直流電壓約0.7V)+ud(二極管交流電壓),uD不再是0.7V;UT為二極管的溫度電壓當量(見(1))。
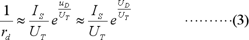
由(2)式可知,由于ud(二極管交流電壓)非常小,那么uD可以近似看做UD,則(2)式可以變換為

把(1)式帶入(3)式中,可以得到

其中:UT為二極管的溫度電壓當量,在室溫27°C時,即T=300 K,UT≈26 mV(見(1));ID為靜態工作點二極管直流電流
通過(4)式說明,只需要知道靜態工作點二極管直流電流,就可以知道在室溫27°C時的動態電阻大小。靜態電流ID越大,rd將越小。反之,則rd將越大。
例題1:二極管電路如圖5所示。設E=10V,ui=0.1sinωt(V),R=5KΩ,二極管的導通電壓為0.7V,試求二極管的直流電流和交流小信號電流。

圖5
答:令ui=0,得到直流電流所流經的路徑(稱為直流通路)如圖6所示。故流過二極管的直流電流為:


圖6
再令E=0,得到交流電流所流經的路徑(稱為交流通路)如圖7所示,圖中的交流電阻rd即


圖7
故二極管上的交流電流為:

例題分析:已知二極管的ID=1~10A,常溫下UT=26mV,試求出二極管兩端電壓UD為0.7V時的直流電阻RD和交流電阻rd。
〈烜芯微/XXW〉專業制造二極管,三極管,MOS管,橋堆等,20年,工廠直銷省20%,上萬家電路電器生產企業選用,專業的工程師幫您穩定好每一批產品,如果您有遇到什么需要幫助解決的,可以直接聯系下方的聯系號碼或加QQ/微信,由我們的銷售經理給您精準的報價以及產品介紹
聯系號碼:18923864027(同微信)
QQ:709211280

